eqn is a preprocessor designed to facilitate the typesetting of mathematical equations. Use neqn with nroff. eqn has the following command-line syntax:
eqn [options] [files]
The canonical reference for eqn is Typesetting Mathematics--User's Guide, by L.L. Cherry and B.W. Kernighan, in UNIX Programmer's Manual, Tenth Edition, Volume 2, AT&T Bell Laboratories, M.D. McIlroy and A.G. Hume editors, Holt Rinehart & Winston, 1990. This paper may be downloaded from http://cm.bell-labs.com/cm/cs/doc/74/eqn.ps.gz.
| .EQ | Start typesetting mathematics.  | 
| .EN | End typesetting mathematics.  | 
Use the checkeq command to check for unmatched macro pairs. (Not all systems have it, though.)
The character sequences below are recognized and translated as shown:
| Character | Translation | Character | Translation | 
|---|---|---|---|
| >= | ![]()  | approx | ![]()  | 
| <= | ![]()  | nothing | |
| == | ![]()  | cdot | . | 
| != | ![]()  | times | × | 
| +- | ± | del | ![]()  | 
| -> | ![]()  | grad | ![]()  | 
| <- | ![]()  | ... | ... | 
| << | ![]()  | ,..., | ,..., | 
| >> | ![]()  | sum | ![]()  | 
| inf | ![]()  | int | ![]()  | 
| partial | ![]()  | prod | ![]()  | 
| half | ½ | union | ![]()  | 
| prime | ![]()  | inter | ![]()  | 
Digits, parentheses, brackets, punctuation marks, and the following mathematical words are printed out in roman font:
| sin | cos | tan | arc | 
| sinh | cosh | tanh | |
| and | if | for | det | 
| max | min | lim | |
| log | ln | exp | |
| Re | Im | 
Greek letters can be printed in uppercase or lowercase. To obtain Greek letters, simply spell them out. Some uppercase Greek letters are not supported because they can be specified by a roman equivalent (e.g, A for alpha, B for beta).
| Name | Character | Name | Character | 
|---|---|---|---|
| alpha | ![]()  | tau | ![]()  | 
| beta | ![]()  | upsilon | ![]()  | 
| gamma | ![]()  | phi | ![]()  | 
| delta | ![]()  | chi | ![]()  | 
| epsilon | ![]()  | psi | ![]()  | 
| zeta | ![]()  | omega | ![]()  | 
| eta | ![]()  | GAMMA | ![]()  | 
| theta | ![]()  | DELTA | ![]()  | 
| iota | ![]()  | THETA | ![]()  | 
| kappa | ![]()  | LAMBDA | ![]()  | 
| lambda | ![]()  | XI | ![]()  | 
| mu | ![]()  | PI | ![]()  | 
| nu | ![]()  | SIGMA | ![]()  | 
| xi | ![]()  | UPSILON | ![]()  | 
| omicron | ![]()  | PHI | ![]()  | 
| pi | ![]()  | PSI | ![]()  | 
| rho | ![]()  | OMEGA | ![]()  | 
| sigma | ![]()  | 
Several keywords are available to mark the tops of characters. eqn centers a mark at the correct height. bar and under span the necessary length.
| Character | Translation | 
|---|---|
| x dot | ![]()  | 
| x dotdot | ![]()  | 
| x hat | ![]()  | 
| x tilde | ![]()  | 
| x vec | ![]()  | 
| x dyad | ![]()  | 
| x bar | ![]()  | 
| x under | ![]()  | 
In addition to character names and diacritical marks, eqn recognizes the following keywords.
| above | Separate the pieces of a pile or matrix column.  | 
| back n | Move backwards horizontally n 1/100s of an em.  | 
| bold | Change to bold font.  | 
| ccol | Center-align a column of a matrix.  | 
| cpile | Make a centered pile (same as pile).  | 
| define | Create a name for a frequently used string.  | 
| delim xy | Define two characters to mark the left and right ends of an eqn equation to be printed inline. Use delim off to turn off delimiters.  | 
| down n | Move down n 1/100s of an em.  | 
| fat | Widen the current font by overstriking it.  | 
| font x | Change to font x, where x is the name or number of a font.  | 
| from | Used in summations, integrals, and similar constructions to signify the lower limit.  | 
| fwd n | Move forward horizontally n 1/100s of an em.  | 
| gfont x | Set a global font x for all equations.  | 
| gsize n | Set a global size for all equations.  | 
| italic | Change to italic font.  | 
| lcol | Left-justify a column of a matrix.  | 
| left | Create big brackets, big braces, big bars, etc.  | 
| lineup | Line up marks in equations on different lines.  | 
| lpile | Left-justify the elements of a pile.  | 
| mark | Remember the horizontal position in an equation. Used with lineup.  | 
| matrix | Create a matrix.  | 
| ndefine | Create a definition that takes effect only when neqn is running.  | 
| over | Make a fraction.  | 
| pile | Make a vertical pile with elements centered above each other.  | 
| rcol | Right-adjust a column of a matrix.  | 
| right | Create big brackets, big braces, big bars, etc. Must have a matching left.  | 
| roman | Set following constant in roman.  | 
| rpile | Right-justify the elements of a pile.  | 
| size n | Change the size of the font to n.  | 
| sqrt | Take the square root of the following equation element.  | 
| sub | Start a subscript.  | 
| sup | Start a superscript.  | 
| tdefine | Make a definition that applies only to eqn.  | 
| to | Used in summations, integrals, and similar constructions to signify the upper limit.  | 
| up n | Move up n 1/100s of an em.  | 
| ~ | Force extra space into the output.  | 
| ^ | Force a space one-half the size of the space forced by ~.  | 
| { } | Force eqn to treat an element as a unit.  | 
| "..." | A string within quotes is not subject to alterations by eqn.  | 
If you don't use braces, eqn performs operations in the order shown in this list, reading from left to right.
| dyad | vec | under | bar | 
| tilde | hat | dot | dotdot | 
| fwd | back | down | up | 
| fat | roman | italic | bold | 
| size | sub | sup | sqrt | 
| over | from | to | 
These operations group to the left:
| over | sqrt | left | right | 
All others group to the right.
eqn defines a language for writing mathematics. Thus, there is a grammar with rules about how to group and order items within the equation. See the Bell Labs memorandum for the full story.
Input:
.EQ
delim %%
.EN
%sum from i=0 to inf c sup i~=~lim from {m -> inf}
sum from i=0 to m c sup i%
.EQ
delim off
.EN
Result:

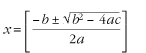
Input:
.EQ
x ~=~ left [ { -b ~+-~ sqrt {b sup 2 - ~4ac} } 
over 2a right ]
.EN
Copyright © 2003 O'Reilly & Associates. All rights reserved.